
Glass-ceramics and bioactive glasses are frequently used in medical applications since human tissues can physiologically tolerate them. Now that they have magnetic properties, these materials can be used in a variety of medicinal applications. In instance, cancer is cured when bone transplants are carried out in a warm setting. After Asst. Prof. Dr. Wilaiwan Leenakun, Lecturer in Industrial Materials Science, Faculty of Science and Technology, Rajamangala University of Technology Phra Nakhon, was subjected to hyperthermia, it was decided to examine the size control of magnetic particles in bio-ceramic glass. And it was found via this research that magnetic properties are necessary for the hyperthermia application to be most successful.
According to Assistant Professor Dr. Wilaiwan Leenakul, the implanting of a magnetic material into the cancer tumor would result from the killing of cancer cells utilizing hyperthermia heat. These magnetic materials produce heat when they are exposed to a magnetic field. This therapy uses heat induction, which has the benefit of operating at a temperature of around 41–43 degrees Celsius. Only cancer cells are destroyed; surrounding healthy tissues are unaffected. As a result, she created a method for producing bio-ceramic glass that is made of crystalline magnetic oxides by adjusting the crystal size and type. The study technique involves preparing 45S5 bio-ceramic glass by employing a heat treatment process to generate crystals.
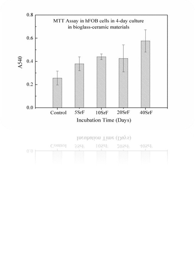
This is a commercial glass that contains magnetic materials that are safe for the body. The crystals are then produced in the glass. The structure was modified to become a glass-ceramic containing magnetic nanocrystals. According to the findings of laboratory study, the final glass ceramic has an elemental phase that is compatible with the synthetic blood solution. which is capable of degrading the ions needed to produce bone cells. demonstrates the workpiece’s biocompatibility. Additionally, the observed magnetic characteristics exhibit transitory magnetism when a magnetic field is applied that is safe for human health. Glass-ceramic samples have the ability to produce heat when evaluated for cytotoxicity. All of the synthetic samples were shown to be non-toxic in all conditions.



However, according to Assistant Professor Dr. Wilaiwan Leenakul, there are crucial variables that must be under control while creating bioglass that contains this magnetic material. Whether it is the pace of differential heating or the crystallization temperature. The efficiency of hyperthermia therapy is affected by the use of differential thermal analysis (DTA), particularly in reducing the magnetic content in the bio-ceramic glass. yet nevertheless has effective therapy so that there is as little leftover in the body as feasible.
The ferro-magnetic glass invention project is expected to be able to produce prototypes with a unique selling proposition since it is composed of ferro-magnetic crystals at this nanoscale. It is a bio-ceramic glass at the nanoscale level that develops new ideas for application in the treatment of cancer and may be further studied in Thai patent registration due to its simple manufacturing process and low manufacturing costs. “Those who are interested can inquire for more information at tel. 08 9266 2485,” stated Asst. Prof. Dr. Wilaiwan Leenakul.




